Belief aggregation on argument maps in diverse and polarised groups

When citizens and their governments rely on expert panels for policy advice, should they favour a diversified group composition? Should they avoid polarised expert panels?
In this project we estimated epistemic group performance as the ability to avoid logical inconsistencies in sentence-wise majority voting. These inconsistencies can arise in groups that aggregate beliefs even if all group members hold individually consistent beliefs (List & Pettit 2002). Although it is not a sufficient condition for reaching the optimal solution, forming a consistent group opinion is a necessary condition for decent advice to politicians and the public, and it is a particularly important indicator when the optimal solution is uncertain.
In our agent-based model, we observed inconsistent aggregation predominantly in highly diverse, but not in highly polarised or moderately diverse groups. This effect is amplified by encoding more inferential information in the model. There seems to be a penalty for being diverse in rich but imperfect information environments.
These results suggest that epistemic problem solving might be more difficult for expert panels with high opinion diversity. We also see important questions about which expectations we may reasonably hold towards expert panels that evaluate inconclusive, permissive evidence at short notice.
Methods
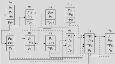
We model group decision tasks through argument maps. Given that agents vote about advising acceptance or rejection of $p_1, p_2,…,p_n$, these maps contain reasons in favour, against, or generally about these issues. Agents in our model form beliefs about every proposition under discussion by assigning a truth value to it. An example for a decision scenario is given in this Figure:

All agents in the model must hold beliefs that allow all presented arguments to be valid. We assume that agreement on validity makes aggregating diverse opinions more interesting, since inconsistencies in our model do not arise from disputed argument quality or relevance.
Our goal was to understand whether groups are more or less likely to aggregate inconsistent group opinions on argument maps depending on their opinion diversity and belief polarisation scores. We measured opinion diversity through the Gini-Simpson index (Tuomisto 2010), and polarisation in terms of statistical dispersion (Bramson et al. 2017). We synthesised thousands of argument maps as well as groups that all hold validity-respecting views in light of these maps, but that have varying opinion diversity and belief polarisation.
Results
These two Figures plot the inconsistency prevalence for diverse (above) and polarised (below) groups:


A single measurement is a consistency query for a sample of 51 agents. The complexity of the argument map is measured in terms of inferential density. An inferentially dense map imposes more validity constraints on the agent’s belief systems (please see our paper for an in-depth treatment of density).
Inconsistent majority opinions are much more likely in diverse than in homogeneous samples. This is true across different degrees of informational influence, but a higher inferential density increases the prevalence of inconsistent aggregation in diverse groups. Groups with a Gini-Simpson index below 0.5 rarely aggregate their beliefs to inconsistent group opinions – incoherence is only a risk for diverse groups. With increasing inferential density, inconsistent aggregations become somewhat more likely in less diverse groups too, but the risk of inconsistent aggregation rises significantly for diverse groups.
Groups with high polarisation do not show an increased inconsistency risk. Highly polarised groups with a dispersion above 0.75 mostly aggregate consistent group opinions, and increasing informational influence slightly lowers the maximum polarisation at which we observe inconsistency. Moderately polarised groups show a completely different picture. In low to medium areas of inferential density, those groups rarely achieve consistent group opinions. Rising informational influence seems to help a bit: consistent group judgements become more likely overall, and particularly so for moderately polarised groups.
Conclusions
Are groups with highly diverse beliefs better at epistemic problem solving, and polarised groups always worse? No – specifically, when faced with majoritarian aggregation under uncertainty and permissive evidence, diverse groups are worse problem solvers and polarised groups succeed in the majority of cases. This is true even if individual expertise and consistency are guaranteed.
Basing public decision making on homogeneous expert panels incurs a democratic legitimacy risk. Calls for increased opinion diversity in such panels are understandable, yet their implementation might reduce the legitimacy of expert advice through the under-appreciated risk of inconsistent aggregation.
There are difficult but worthwhile problems related to managing this kind of inconsistent aggregation. Should citizens and policy makers be more lenient towards epistemic groups that require extensive deliberation or additional fact-finding? In how far should expert advise be superseded in case of inconsistent aggregation, such as by political or moral ideals? And how should the experts themselves deal with inconsistent majority opinions when commissioned to advise the public? Should they issue separate recommendations that are individually consistent but cannot win a majority among them? Or should they explicitly restrict their recommendations to issues with a consistent group response?
Publication
Kopecky, Felix & Betz, Gregor (2025). Inconsistent belief aggregation in diverse and polarised groups. Philosophy of Science 92 (1): 40–58. DOI: 10.1017/psa.2024.29.
References
Bramson, Aaron, Patrick Grim, Daniel J. Singer, William J. Berger, Graham Sack, Steven Fisher, Carissa Flocken & Bennett Holman. 2017. Understanding polarization: Meanings, measures, and model evaluation. Philosophy of Science 84 (1), pp. 115–159. DOI: 10.1086/688938.
List, Christian & Philip Pettit. 2002. Aggregating sets of judgments: An impossibility result. Economics & Philosophy 18 (1), pp. 89–110. DOI: 10.1017/S0266267102001098.
Tuomisto, Hanna. 2010. A consistent terminology for quantifying species diversity? Yes, it does exist. Oecologia 164, pp. 853–860. DOI: 10.1007/s00442-010-1812-0.

